(495) 925-0049, ITShop интернет-магазин 229-0436, Учебный Центр 925-0049
  Главная страница Карта сайта Контакты
Поиск
Вход
Регистрация
Рассылки сайта
 
 
 
 
 

Программирование на языке Delphi. Глава 2. Основы языка Delphi. Часть 4

Источник: RSDNru
А.Н. Вальвачев, К.А. Сурков, Д.А. Сурков, Ю.М. Четырько

предыдущая статья серии

Оглавление

Файлы

Понятие файла

С точки зрения пользователя файл - это именованная область данных на диске или любом другом внешнем носителе. В программе файл предстает как последовательность элементов некоторого типа. Так как размер одного файла может превышать объем всей оперативной памяти компьютера, доступ к его элементам выполняется последовательно с помощью процедур чтения и записи.

Для файла существует понятие текущей позиции. Она показывает номер элемента, который будет прочитан или записан при очередном обращении к файлу. Чтение-запись каждого элемента продвигает текущую позицию на единицу вперед. Для большинства файлов можно менять текущую позицию чтения-записи, выполняя прямой доступ к его элементам.

В зависимости от типа элементов различают три вида файла:

  • файл из элементов фиксированного размера; элементами такого файла чаще всего являются записи;
  • файл из элементов переменного размера (нетипизированный файл); такой файл рассматривается просто как последовательность байтов;
  • текстовый файл; элементами такого файла являются текстовые строки.

Для работы с файлом в программе объявляется файловая переменная. В файловой переменной запоминается имя файла, режим доступа (например, только чтение), другие атрибуты. В зависимости от вида файла файловая переменная описывается по-разному.

Для работы с файлом, состоящим из типовых элементов переменная объявляется с помощью словосочетания file of, после которого записывается тип элемента:

var
 F: file of TPerson;

К моменту такого объявления тип TPerson должен быть уже описан (см. выше).

Объявление переменной для работы с нетипизированным файлом выполняется с помощью отдельного слова file:

var
 F: file;

Для работы с текстовым файлом переменная описывается с типом TextFile:

var
 F: TextFile;

Работа с файлами

Наиболее часто приходится иметь дело с текстовым представлением информации, поэтому рассмотрим запись и чтение текстового файла.

Приступая к работе с файлом, нужно первым делом вызвать процедуру AssignFile, чтобы файловой переменной поставить в соответствие имя файла на диске:

AssignFile(F, 'MyFile.txt');

В результате этого действия поля файловой переменной F инициализируются начальными значениями. При этом в поле имени файла заносится строка 'MyFile.txt'.

Так как файла еще нет на диске, его нужно создать:

Rewrite(F);

Теперь запишем в файл несколько строк текста. Это делается с помощью хорошо вам знакомых процедур Write и Writeln:

Writeln(F, 'Pi = ', Pi);
Writeln(F, 'Exp = ', Exp(1));

При работе с файлами первый параметр этих процедур показывает, куда происходит вывод данных.

После работы файл должен быть закрыт:

CloseFile(F);

Рассмотрим теперь, как прочитать содержимое текстового файла. После инициализации файловой переменной (AssignFile) файл открывается с помощью процедуры Reset:

Reset(F);

Для чтения элементов используются процедуры Read и Readln, в которых первый параметр показывает, откуда происходит ввод данных. После работы файл закрывается. В качестве примера приведем программу, распечатывающую в своем окне содержимое текстового файла 'MyFile.txt':

program Console;

{$APPTYPE CONSOLE}

uses
 SysUtils;

var
 F: TextFile;
 S: string;

begin
 AssignFile(F, 'MyFile.txt');
 Reset(F);
 while not Eof(F) do
 begin
 Readln(F, S);
 Writeln(S);
 end;
 CloseFile(F);
 Writeln('Press Enter to exit...');
 Readln;
end.

Так как обычно размер файла заранее не известен, перед каждой операцией чтения вызывается функция Eof, которая возвращает True, если достигнут конец файла.

Внимание! Текстовые файлы можно открывать только для записи или только для чтения, но не для того и другого одновременно. Для того чтобы сначала записать текстовый файл, а потом прочитать, его нужно закрыть после записи и снова открыть, но уже только для чтения.

Стандартные подпрограммы управления файлами

Для обработки файлов в языке Delphi имеется специальный набор процедур и функций:

  • AssignFile(var F; FileName: string) - связывает файловую переменную F и файл, имя которого указано в FileName.
  • Reset(var F [: File; RecSize: Word ] ) - открывает существующий файл. Если открывается нетипизированный файл, то RecSize задает размер элемента файла.
  • Rewrite(var F [: File; RecSize: Word ] ) - создает и открывает новый файл.
  • Append(var F: TextFile) - открывает текстовый файл для добавления текста.
  • Read(F, V1 [, V2, ..., Vn ]) - начиная с текущей позиции, читает из типизированного файла подряд расположенные элементы в переменные V1, V2, ..., Vn.
  • Read(var F: TextFile; V1 [, V2, ..., Vn ] ) - начиная с текущей позиции, читает из текстового файла символы или строки в переменные V1, V2, ..., Vn.
  • Write(F, V1 [, V2, ..., Vn ]) - начиная с текущей позиции, записывает в типизированный файл значения V1, V2, ..., Vn.
  • Write(var F: TextFile; V1 [, V2, ..., Vn ] ) - начиная с текущей позиции указателя чтения-записи, записывает в текстовый файл значения V1, V2, ..., Vn.
  • CloseFile(var F) - закрывает ранее открытый файл.
  • Rename(var F; NewName: string) - переименовывает неоткрытый файл F любого типа. Новое имя задается в NewName.
  • Erase(var F) - удаляет неоткрытый внешний файл любого типа, заданный переменной F.
  • Seek(var F; NumRec: Longint) - устанавливает позицию чтения-записи на элемент с номером NumRec; F - типизированный или нетипизированный файл.
  • SetTextBuf(var F: TextFile; var Buf [; Size: Word]) - назначает текстовому файлу F новый буфер ввода-вывода Buf объема Size.
  • SetLineBreakStyle(var T: Text; Style: TTextLineBreakStyle) - устанавливает способ переноса строк в файле (одиночный символ #10 или пара символов #13#10).
  • Flush(var F: TextFile) - записывает во внешний файл все символы, переданные в буфер для записи.
  • Truncate(var F) - урезает файл, уничтожая все его элементы, начиная с текущей позиции.
  • IOResult: Integer - возвращает код, характеризующий результат (была ошибка или нет) последней операции ввода-вывода.
  • FilePos(var F): Longint - возвращает для файла F текущую файловую позицию (номер элемента, на которую она установлена, считая от нуля). Не используется с текстовыми файлами.
  • FileSize(var F): Longint - возвращает число компонент в файле F. Не используется с текстовыми файлами.
  • Eoln(var F: Text): Boolean - возвращает булевское значение True, если текущая позиция чтения-записи находится на маркере конца строки. Если параметр F не указан, функция применяется к стандартному устройству ввода с именем Input.
  • Eof(var F): Boolean - возвращает булевское значение True, если текущая позиция чтения-записи находится сразу за последним элементом, и False в противном случае.
  • SeekEoln(var F: Text): Boolean - возвращает True при достижении маркера конца строки. Все пробелы и знаки табуляции, предшествующие маркеру, пропускаются.
  • SeekEof(var F: Text): Boolean - возвращает значение True при достижении маркера конца файла. Все пробелы и знаки табуляции, предшествующие маркеру, пропускаются.

Для работы с нетипизированными файлами используются процедуры BlockRead и BlockWrite. Единица обмена

  • BlockRead(var F: File; var Buf; Count: Word [; Result: Word] ) - считывает из файла F определенное число блоков в память, начиная с первого байта переменной Buf. Параметр Buf представляет любую переменную, используемую для накопления информации из файла F. Параметр Count задает число считываемых блоков. Параметр Result является необязательным и содержит после вызова процедуры число действительно считанных записей. Использование параметра Result подсказывает, что число считанных блоков может быть меньше, чем задано параметром Count.
  • BlockWrite(var F: File; var Buf; Count: Word [; Result: Word]) - предназначена для быстрой передачи в файл F определенного числа блоков из переменной Buf. Все параметры процедуры BlockWrite аналогичны параметрам процедуры BlockRead.
  • ChDir(const S: string) - устанавливает текущий каталог.
  • CreateDir(const Dir: string): Boolean - создает новый каталог на диске.
  • MkDir(const S: string) - аналог функции CreateDir. Отличие в том, что в случае ошибки при создании каталога функция MkDir создает исключительную ситуацию.
  • DeleteFile(const FileName: string): Boolean - удаляет файл с диска.
  • DirectoryExists(const Directory: string): Boolean - проверяет, существует ли заданный каталог на диске.
  • FileAge(const FileName: string): Integer - возвращает дату и время файла в числовом системно-зависимом формате.
  • FileExists(const FileName: string): Boolean - проверяет, существует ли на диске файл с заданным именем.
  • FileIsReadOnly(const FileName: string): Boolean - проверяет, что заданный файл можно только читать.
  • FileSearch(const Name, DirList: string): string - осуществляет поиск заданого файла в указанных каталогах. Список каталогов задается параметром DirList; каталоги разделяются точкой с запятой для операционной системы Windows и запятой для операционной системы Linux. Функция возвращает полный путь к файлу.
  • FileSetReadOnly(const FileName: string; ReadOnly: Boolean): Boolean - делает файл доступным только для чтения.
  • FindFirst/FindNext/FindClose
  • ForceDirectories(Dir: string): Boolean - создает новый каталог на диске. Позволяет одним вызовом создать все каталоги пути, заданного параметром Dir.
  • GetCurrentDir: string - возвращает текущий каталог.
  • SetCurrentDir(const Dir: string): Boolean - устанавливает текущий каталог. Если это сделать невозможно, функция возвращет значение False.
  • RemoveDir(const Dir: string): Boolean - удаляет каталог с диска; каталог должен быть пустым. Если удалить каталог невозможно, функция возвращет значение False.
  • RenameFile(const OldName, NewName: string): Boolean - изменяет имя файла. Если это сделать невозможно, функция возвращет значение False.
  • ChangeFileExt(const FileName, Extension: string): string - возвращает имя файла с измененным расширением.
  • ExcludeTrailingPathDelimiter(const S: string): string - отбрасывает символ-разделитель каталогов (символ ‘/’ - для Linux и ‘\’ - для Windows), если он присутствует в конце строки.
  • IncludeTrailingPathDelimiter(const S: string): string - добавляет символ-разделитель каталогов (символ ‘/’ - для Linux и ‘\’ - для Windows), если он отсутствует в конце строки.
  • ExpandFileName(const FileName: string): string - возвращает полное имя файла (с абсолютным путем) по неполному имени.
  • ExpandUNCFileName(const FileName: string): string - возвращает полное сетевое имя файла (с абсолютным сетевым путем) по неполному имени. Для операционной системы Linux эта функция эквивалентна функции ExpandFileName.
  • ExpandFileNameCase(const FileName: string; out MatchFound: TFilenameCaseMatch): string - возвращает полное имя файла (с абсолютным путем) по неполному имени, допуская несовпадения заглавных и строчных букв в имени файла для тех файловых систем, которые этого не допускают (например, файловая система ОС Linux).
  • ExtractFileDir(const FileName: string): string - выделяет путь из полного имени файла; путь не содержит в конце символ-разделитель каталогов.
  • ExtractFilePath(const FileName: string): string - выделяет путь из полного имени файла; путь содержит в конце символ-разделитель каталогов.
  • ExtractRelativePath(const BaseName, DestName: string): string - возвращает относительный путь к файлу DestName, отсчитанный от каталога BaseName. Путь BaseName должен заканчиваться символом-разделителем каталогов.
  • ExtractFileDrive(const FileName: string): string - выделяет имя диска (или сетевого каталога) из имени файла. Для операционной системы Linux функция возвращает пустую строку.
  • ExtractFileExt(const FileName: string): string - выделяет расширение файла из его имени.
  • ExtractFileName(const FileName: string): string - выделяет имя файла, отбрасывая путь к нему.
  • IsPathDelimiter(const S: string; Index: Integer): Boolean - проверяет, является ли символ S[Index] разделителем каталогов.
  • MatchesMask(const Filename, Mask: string): Boolean - проверяет, удовлетворяет ли имя файла заданной маске.

Указатели

Понятие указателя

Все переменные, с которыми мы имели дело, известны уже на этапе компиляции. Однако во многих задачах нужны переменные, которые по мере необходимости можно создавать и удалять во время выполнения программы. С этой целью в языке Delphi организована поддержка так называемых указателей, для которых введен специальный тип данных Pointer.

Не секрет, что любая переменная в памяти компьютера имеет адрес. Переменные, которые содержат адреса других переменных, принято называть указателями. Указатели объявляются точно так же, как и обычные переменные:

var
 P: Pointer; // переменная-указатель
 N: Integer; // целочисленная переменная

Переменная P занимает 4 байта и может содержать адрес любого участка памяти, указывая на байты со значениями любых типов данных: Integer, Real, string, record, array и других. Чтобы инициализировать переменную P, присвоим ей адрес переменной N. Это можно сделать двумя эквивалентными способами:

P := Addr(N); // с помощью вызова встроенной функции Addr

или

P := @N; // с помощью оператора @

В дальнейшем мы будем использовать более краткий и удобный второй способ.

Если некоторая переменная P содержит адрес другой переменной N, то говорят, что P указывает на N. Графически это обозначается стрелкой, проведенной из P в N (рисунок 12 выполнен в предположении, что N имеет значение 10):

Рисунок 12. Графическое изображение указателя P на переменную N

Рисунок 12. Графическое изображение указателя P на переменную N

Теперь мы можем изменить значение переменной N, не прибегая к идентификатору N. Для этого слева от оператора присваивания запишем не N, а P вместе с символом ^:

P^ := 10; // Здесь умышленно опущено приведение типа

Символ ^, записанный после имени указателя, называется оператором доступа по адресу. В данном примере переменной, расположенной по адресу, хранящемуся в P, присваивается значение 10. Так как в переменную P мы предварительно занесли адрес N, данное присваивание приводит к такому же результату, что и

N := 10;

Однако в примере с указателем мы умышленно допустили одну ошибку. Дело в том, что переменная типа Pointer может содержать адреса переменных любого типа, не только Integer. Из-за сильной типизации языка Delphi перед присваиванием мы должны были бы преобразовать выражение P^ к типу Integer:

Integer(P^) := 10;

Согласитесь, такая запись не совсем удобна. Для того, чтобы сохранить простоту и избежать постоянных преобразований к типу, указатель P следует объявить так:

var
 P: ^Integer;

При такой записи переменная P по прежнему является указателем, но теперь ей можно присваивать адреса только целых переменных. В данном случае указатель P называют типизированным, в отличие от переменных типа Pointer, которые называют нетипизированными указателями. При использовании типизированных указателей лучше предварительно вводить соответствующий указательный тип данных, а переменные-указатели просто объявлять с этим типом. Поэтому предыдущий пример можно модифицировать следующим образом:

type
 PInteger = ^Integer;
var
 P: PInteger;

PInteger - это указательный тип данных. Чтобы отличать указательные типы данных от других типов, будем назначать им идентификаторы, начинающиеся с буквы P (от слова Pointer). Объявление указательного типа данных является единственным способом введения указателей на составные переменные, такие как массивы, записи, множества и другие. Например, объявление типа данных для создания указателя на некоторую запись TPerson может выглядеть так:

type
 PPerson = ^TPerson;
 TPerson = record
 FirstName: string[20]; 
 LastName: string[20]; 
 BirthYear: Integer; 
 end;

var
 P: PPerson;

Переменная P, описанная с типом данных PPerson, является указателем и может содержать адрес любой переменной типа TPerson. Впредь все указатели мы будем вводить через соответствующие указательные типы данных. Типом Pointer будем пользоваться лишь тогда, когда это действительно необходимо или оправдано.

Динамическое распределение памяти

После объявления в секции var указатель содержит неопределенное значение. Поэтому переменные-указатели, как и обычные переменные, перед использованием нужно инициализировать. Отсутствие инициализации указателей является наиболее распространенной ошибкой среди новичков. Причем если использование обычных неинициализированных переменных приводит просто к неправильным результатам, то использование неинициализированных указателей обычно приводит к ошибке "Access violation" (доступ к неверному адресу памяти) и принудительному завершению приложения.

Один из способов инициализации указателя состоит в присваивании ему адреса некоторой переменной соответствующего типа. Этот способ мы уже рассмотрели. Второй способ состоит в динамическом выделении участка памяти под переменную соответствующего типа и присваивании указателю его адреса. Работа с динамическими переменными и есть основное назначение указателей. Размещение динамических переменных производится в специальной области памяти, которая называется Heap (куча). Ее размер равен размеру свободной памяти компьютера.

Для размещения динамической переменной вызывается стандартная процедура

New(var P: Pointer);

Она выделяет требуемый по размеру участок памяти и заносит его адрес в переменную-указатель P. В следующем примере создаются 4 динамических переменных, адреса которых присваиваются переменным-указателям P1, P2, P3 и P4:

program Console;

{$APPTYPE CONSOLE}

uses
 SysUtils;

type
 PInteger = ^Integer;
 PDouble = ^Double;
 PShortString = ^ShortString;

var
 P1, P2: PInteger;
 P3: PDouble;
 P4: PShortString;

begin
 New(P1);
 New(P2);
 New(P3);
 New(P4);
 ...
end.

Далее по адресам в указателях P1, P2, P3 и P4 можно записать значения:

P1^ := 10;
P2^ := 20;
P3^ := 0.5;
P4^ := 'Hello!';

В таком контексте динамические переменные P1^, P2^, P3^ и P4^ ничем не отличаются от обычных переменных соответствующих типов. Операции над динамическими переменными аналогичны подобным операциям над обычными переменными. Например, следующие операторы могут быть успешно откомпилированы и выполнены:

if P1^ < P2^ then
 P1^ := P1^ + P2^; // в P1^ заносится 30
P3^ := P1^; // в P3^ заносится 30.0

После работы с динамическими переменными необходимо освободить занимаемую ими память. Для этого предназначена процедура:

Dispose(var P: Pointer);

Например, в приведенной выше программе явно не хватает следующих строк:

Dispose(P4);
Dispose(P3);
Dispose(P2);
Dispose(P1);

После выполнения данных утверждений указатели P1, P2, P3 и P4 опять перестанут быть связаны с конкретными адресами памяти. В них будут случайные значения, как и до обращения к процедуре New. Не стоит делать попытки присвоить значения переменным P1^, P2^, P3^ и P4^, ибо в противном случае это может привести к нарушению нормальной работы программы.

Важной особенностью динамической переменной является то, что она не прекращает свое существавание с выходом из области действия ссылающегося на нее указателя. Эта особенность может приводить к таким явлениям, как утечка памяти. Если Вы по каким-то причинам не освободили память, выделенную для динамической переменной, то при выходе из области действия указателя вы потеряете эту память, поскольку уже не будете знать ее адреса.

Поэтому следует четко придерживаться последовательности действий при работе с динамическими переменными:

  • создать динамическую переменную;
  • выполнить с ней необходимые действия;
  • разрушить динамическую переменную.

Операции над указателями

С указателями можно работать как с обычными переменными, например присваивать значения других указателей:

P3^ := 20;
P1^ := 50;
P3 := P1; // теперь P3^ = 50

После выполнения этого оператора оба указателя P1 и P3 будут указывать на один и тот же участок памяти. Однако будьте осторожны при операциях с указателями. Только что сделанное присваивание приведет к тому, что память, выделенная ранее для указателя P3, будет потеряна. Отдавая программе участок свободной памяти, система помечает его как занятый. После работы вся память, которая была выделена динамически, должна быть возвращена системе. Поэтому изменение значения указателя P3 без предварительного освобождения связанной с ним динамической переменной является ошибкой.

Использование одинаковых значений в разных указателях открывает некоторые интересные возможности. Так после оператора P3 := P1 изменение значения переменной P3^ будет равносильно изменению значения P1^.

P3^ := 70; // теперь P3^ = P1^ = 70

В этом нет ничего удивительного, так как указатели P1 и P3 указывают на одну и ту же физическую переменную. Просто для доступа к ней могут использоваться два имени: P1^ и P3^. Такая практика требует большой осмотрительности, поскольку всегда следует различать операции над адресами и операции над данными, хранящимися в памяти по этим адресам.

Указатели можно сравнивать. Так уж сложилось, что понятие больше-меньше в адресации памяти разных моделей компьютеров может иметь противоположный смысл. Из-за этого операции сравнения указателей ограничены двумя: сравнение на равенство или неравенство.

if P1 = P2 then ... // Указатели ссылаются на одни и те же данные

if P1 <> P2 then ... // Указатели ссылаются на разные данные

Чаще всего операции сравнения указателей используются для проверки того, связан ли указатель с динамической переменной. Если еще нет, то ему следует присвоить значение nil (зарезервированное слово):

P1 := nil;

Установка P1 в nil однозначно говорит о том, что указателю не выделена динамическая память. Если всем объявленным указателям присвоить значение nil, то внутри программы можно легко выполнить тестирование наподобие этого:

if P1 = nil then New(P1);

или

if P1 <> nil then Dispose(P1);

Процедуры GetMem и FreeMem

Для динамического распределения памяти служат еще две тесно взаимосвязанные процедуры: GetMem и FreeMem. Подобно New и Dispose, они во время вызова выделяют и освобождают память для одной динамической переменной:

  • GetMem(var P: Pointer; Size: Integer) - создает в динамической памяти новую динамическую переменную c заданным размером Size и присваивает ее адрес указателю P. Переменная-указатель P может указывать на данные любого типа.
  • FreeMem(var P: Pointer [; Size: Integer] ) - освобождает динамическую переменную. Если в программе используется этот способ распределения памяти, то вызовы GetMem и FreeMem должны соответствовать друг другу. Обращения к GetMem и FreeMem могут полностью соответствовать вызовам New и Dispose.

Пример:

New(P4); // Выделить блок памяти для указателя P4
...
Dispose(P4); // Освободить блок памяти

Следующий отрывок программы даст тот же самый результат:

GetMem(P4, SizeOf(ShortString)); // Выделить блок памяти для P4
...
FreeMem(P4); // Освободить блок памяти

С помощью процедуры GetMem одной переменной-указателю можно выделить разное количество памяти в зависимости от потребностей. В этом состоит ее основное отличие от процедуры New.

GetMem(P4, 20); // Выделить блок в 20 байт для указателя P4
...
FreeMem(P4); // Освободить блок памяти

В данном случае для указателя P4 выделяется меньше памяти, чем может уместиться в переменной типа ShortString, и программист сам должен обеспечить невыход строки за пределы выделенного участка.

В некоторых случаях бывает необходимо перевыделить динамическую память, например для того чтобы разместить в динамической области больше данных. Для этого предназначена процедура:

ReallocMem(var P: Pointer; Size: Integer) - освобождает блок памяти по значению указателя P и выделяет для указателя новый блок памяти заданного размера Size. Указатель P может иметь значение nil, а параметр Size - значение 0, что влияет на работу процедуры:

  • если P = nil и Size = 0, процедура ничего не делает;
  • если P = nil и Size <> 0, процедура выделяет новый блок памяти заданного размера, что соответствует вызову процедуры GetMem.
  • если P <> nil и Size = 0, процедура освобождает блок памяти, адресуемый указателем P и устанавливает указатель в значение nil. Это соответствует вызову процедуры FreeMem, с той лишь разницей, что FreeMem не очищает указатель;
  • если P <> nil и Size <> 0, процедура перевыделяет память для указателя P. Размер нового блока определяется значением Size. Данные из прежнего блока копируются в новый блок. Если новый блок больше прежнего, то приращенный участок остается неинициализированным и содержит случайные данные.

Представление строк в памяти

В некоторых случаях динамическая память неявно используется программой, например для хранения строк. Длина строки может варьироваться от нескольких символов до миллионов и даже миллиардов (теоретический предел равен 2 ГБ). Тем не менее, работа со строками в программе осуществляется так же просто, как работа с переменными простых типов данных. Это возможно потому, что компилятор автоматически генерирует код для выделения и освобождения динамической памяти, в которой хранятся символы строки. Но что стоит за такой простотой? Не идет ли она в ущерб эффективности? С полной уверенностью можем ответить, что эффективность программы не только не снижается, но даже повышается.

Физически переменная строкового типа представляет собой указатель на область динамической памяти, в которой размещаются символы. Например, переменная S на самом деле представляет собой указатель и занимает всего четыре байта памяти (SizeOf(S) = 4):

var
 S: string; // Эта переменная физически является указателем

При объявлении этот указатель автоматически инициализируется значением nil. Оно показывет, что строка является пустой. Функция SetLength, устанавливающая размер строки, на самом деле резервирует необходимый по размеру блок динамической памяти и записывает его адрес в строковую переменную:

SetLength(S, 100); // S получает адрес распределенного блока динамической памяти

За оператором присваивания строковых переменных на самом деле кроется копирование значения указателя, а не копирование блока памяти, в котором хранятся символы.

S2 := S1; // Копируются лишь адреса

Такой подход весьма эффективен как с точки зрения производительности, так и с точки зрения экономного использования оперативной памяти. Его главная проблема состоит в том, чтобы обеспечить удаление блока памяти, содержащего символы строки, когда все адресующие его строковые переменные прекращают свое существование. Эта проблема эффективно решается с помощью механизма подсчета количества ссылок (reference counting). Для понимания его работы рассмотрим формат хранения строк в памяти подробнее.

Пусть в программе объявлены две строковые переменные:

var
 S1, S2: string; // Физически эти переменные являются указателями

И пусть в программе существует оператор, присваивающий переменной S1 значение некоторой функции:

Readln(S1); // В S1 записывается адрес считанной строки

Для хранения символов строки S1 по окончании ввода будет выделен блок динамической памяти. Формат этого блока после ввода значения 'Hello' показан на рисунке 13:

Рисунок 13. Представление строковых переменных в памяти

Рисунок 13. Представление строковых переменных в памяти

Как можно заметить, блок динамической памяти, выделенный для хранения символов строки, дополнительно содержит два поля, расположенных перед первым символом (по отрицательным смещениям относительно строкового указателя). Первое поле хранит количество ссылок на данную строку, а второе - длину строки.

Если в программе встречается оператор присваивания значения одной строковой переменной другой строковой переменной,

S2 := S1; // Теперь S2 указывает на тот же блок памяти, что и S1

то, как мы уже сказали, копия строки в памяти не создается. Копируется только адрес, хранящийся в строковой переменной, и на единицу увеличивается количество ссылок на строку (рисунок 14).

Рисунок 14. Результат копирования строковой переменной S1 в строковую переменную S2

Рисунок 14. Результат копирования строковой переменной S1 в строковую переменную S2

При присваивании переменной S1 нового значения (например, пустой строки):

S1 := '';

количество ссылок на предыдущее значение уменьшается на единицу (рисунок 15).

Рисунок 15. Результат присваивания строковой переменной S1 нового значения (пустой строки)

Рисунок 15. Результат присваивания строковой переменной S1 нового значения (пустой строки)

Блок динамической памяти освобождается, когда количество ссылок на строку становится равным нулю. Этим обеспечивается автоматическое освобождение неиспользуемой памяти.

Интересно, а что происходит при изменении символов строки, с которой связано несколько строковых переменных? Правила семантики языка требуют, чтобы две строковые переменные были логически независимы, и изменение одной из них не влияло на другую. Это достигается с помощью механизма копирования при записи (copy-on-write).

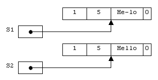
Например, в результате выполнения операторов

 S1 := S2; // S1 указывает на ту же строку, что и S2
 S1[3] := '-'; // Автоматически создается копия строки

получим следующую картину в памяти (рисунок 16):

Рисунок 16. Результат изменения символа в строке S1

Рисунок 16. Результат изменения символа в строке S1

Работая сообща, механизмы подсчета количества ссылок и копирования при записи позволяют наиболее эффективно работать со строками. Это как раз тот случай, когда простота и удобство сочетается с мощью и эффективностью.

Все, что было сказано выше о представлении в памяти строк, относится только к строкам формата AnsiString. Строки формата WideString тоже хранятся в динамической памяти, но для них не поддерживаются механизм подсчета количества ссылок и механизм копирования по записи. Операция присваивания строковых переменных формата WideString означает выделение нового блока динамической памяти и полное копирование в него всех символов исходной строки. Что же касается коротких строк, то они целиком хранятся по месту объявления: или в области данных программы (если это глобальные переменные), или на стеке (если это локальные переменные). Динамическая память вообще не используется для хранения коротких строк.

Динамические массивы

Одним из мощнейших средств языка Delphi являются динамические массивы. Их основное отличие от обычных массивов заключается в том, что они хранятся в динамической памяти. Этим и обусловлено их название. Чтобы понять, зачем они нужны, рассмотрим пример:

var
 N: Integer;
 A: array[1..100] of Integer; // обычный массив
begin
 Write('Введите количество элементов: ');
 ReadLn(N);
 ...
end.

Задать размер массива A в зависимости от введенного пользователем значения невозможно, поскольку в качестве границ массива необходимо указать константные значения. А введенное пользователем значение никак не может претендовать на роль константы. Иными словами, следующее объявление будет ошибочным:

var
 N: Integer;
 A: array[1..N] of Integer; // Ошибка!
begin
 Write('Введите количество элементов: ');
 ReadLn(N);
 ...
end.

На этапе написания программы невозможно предугадать, какие именно объемы данных захочет обрабатывать пользователь. Тем не менее, Вам придется ответить на два важных вопроса:

  • На какое количество элементов объявить массив?
  • Что делать, если пользователю все-таки понадобится большее количество элементов?

Вы можете поступить следующим образом. В качестве верхней границы массива установить максимально возможное (с вашей точки зрения) количество элементов, а реально использовать только часть массива. Если пользователю потребуется большее количество элементов, чем зарезервировано Вами, то ему можно попросту вежливо отказать. Например:

const
 MaxNumberOfElements = 100;
var
 N: Integer;
 A: array[1.. MaxNumberOfElements] of Integer;
begin
 Write('Введите количество элементов (не более ', MaxNumberOfElements, '): ');
 ReadLn(N);
 if N > MaxNumberOfElements then
 begin
 Write('Извините, программа не может работать ');
 Writeln('с количеством элементов больше , ' MaxNumberOfElements, '.');
 end
 else
 begin
 ... // Инициализируем массив необходимыми значениями и обрабатываем его
 end;
end.

Такое решение проблемы является неоптимальным. Если пользователю необходимо всего 10 элементов, программа работает без проблем, но всегда использует объем памяти, необходимый для хранения 100 элементов. Память, отведенная под остальные 90 элементов, не будет использоваться ни Вашей программой, ни другими программами (по принципу "сам не гам и другому не дам"). А теперь представьте, что все программы поступают таким же образом. Эффективность использования оперативной памяти резко снижается.

Динамические массивы позволяют решить рассмотренную проблему наилучшим образом. Размер динамического массива можно изменять во время работы программы.

Динамический массив объявляется без указания границ:

var
 DynArray: array of Integer;

Переменная DynArray представляет собой ссылку на размещаемые в динамической памяти элементы массива. Изначально память под массив не резервируется, количество элементов в массиве равно нулю, а значение переменной DynArray равно nil.

Работа с динамическими массивами напоминает работу с длинными строками. В частности, создание динамического массива (выделение памяти для его элементов) осуществляется той же процедурой, которой устанавливается длина строк - SetLength.

SetLength(DynArray, 50); // Выделить память для 50 элементов

Изменение размера динамического массива производится этой же процедурой:

SetLength(DynArray, 100); // Теперь размер массива 100 элементов

При изменении размера массива значения всех его элементов сохраняются. При этом последовательность действий такова: выделяется новый блок памяти, значения элементов из старого блока копируются в новый, старый блок памяти освобождается.

При уменьшении размера динамического массива лишние элементы теряютяся.

При увеличении размера динамического массива добавленные элементы не инициализируются никаким значением и в общем случае их значения случайны. Однако если динамический массив состоит из элементов, тип которых предполагает автоматическую инициализацию пустым значением (string, Variant, динамический массив, др.), то добавленная память инициализируется нулями.

Определение количества элементов производится с помощью функции Length:

N := Length(DynArray); // N получит значение 100

Элементы динамического массива всегда индексируются от нуля. Доступ к ним ничем не отличается от доступа к элементам обычных статических массивов:

DynArray[0] := 5; // Присвоить начальному элементу значение 5
DynArray[High(DynArray)] := 10; // присвоить конечному элементу значение 10

К динамическим массивам, как и к обычным массивам, применимы функции Low и High, возвращающие минимальный и максимальный индексы массива соответственно. Для динамических массивов функция Low всегда возвращает 0.

Освобождение памяти, выделенной для элементов динамического массива, осуществляется установкой длины в значение 0 или присваиванием переменной-массиву значения nil (оба варианта эквивалентны):

SetLength(DynArray, 0); // Эквивалентно: DynArray := nil;

Однако Вам вовсе необязательно по окончании использования динамического массива освобождать выделенную память, поскольку она освобождается автоматически при выходе из области действия переменной-массива (удобно, не правда ли!). Данная возможность обеспечивается уже известным Вам механизмом подсчета количества ссылок.

Также, как и при работе со строками, при присваивании одного динамического массива другому, копия уже существующего массива не создается.

var
 A, B: array of Integer;
begin
 SetLength(A, 100); // Выделить память для 100 элементов
 A[0] := 5;
 B := A; // A и B указывают на одну и ту же область памяти!
 B[1] := 7; // Теперь A[1] тоже равно 7!
 B[0] := 3; // Теперь A[0] равно 3, а не 5!
end.

В приведенном примере, в переменную B заносится адрес динамической области памяти, в которой хранятся элементы массива A (другими словами, ссылочной переменной B присваивается значение ссылочной переменной A).

Как и в случае со строками, память освобождается, когда количество ссылок становится равным нулю.

var
 A, B: array of Integer;
begin
 SetLength(A, 100); // Выделить память для 100 элементов
 A[0] := 10;
 B := A; // B указывает на те же элементы, что и A
 A := nil; // Память еще не освобождается, поскольку на нее указывает B
 B[1] := 5; // Продолжаем работать с B, B[0] = 10, а B[1] = 5
 B := nil; // Теперь ссылок на блок памяти нет. Память освобождается
end;

Для работы с динамическими массивами вы можете использовать знакомую по строкам функцию Copy. Она возвращает часть массива в виде нового динамического массива.

Не смотря на сильное сходство динамических массивов со строками, у них имеется одно существенное отличие: отсутствие механизма копирования при записи (copy-on-write).

Нуль-терминированные строки

Кроме стандартных строк ShortString и AnsiString, в языке Delphi поддерживаются нуль-терминированные строки языка C, используемые процедурами и функциями Windows. Нуль-терминированная строка представляет собой индексированный от нуля массив ASCII-символов, заканчивающийся нулевым символом #0. Для поддержки нуль-терминированных строк в языке Delphi введены три указательных типа данных:

type
 PAnsiChar = ^AnsiChar;
 PWideChar = ^WideChar;
 PChar = PAnsiChar;

Типы PAnsiChar и PWideChar являются фундаментальными и на самом деле используются редко. PChar - это обобщенный тип данных, в основном именно он используется для описания нуль-терминированных строк.

Ниже приведены примеры объявления нуль-терминированных строк в виде типизированных констант и переменных:

const
 S1: PChar = 'Object Pascal'; // #0 дописывается автоматически
 S2: array[0..12] of Char = 'Delphi/Kylix'; // #0 дописывается автоматически
var
 S3: PChar;

Переменные типа PChar являются указателями, а не настоящими строками. Поэтому, если переменной типа PChar присвоить значение другой переменной такого же типа, то в результате получится два указателя на одну и ту же строку, а не две копии исходной строки. Например, в результате оператора

S3 := S1;

переменная S3 получит адрес уже существующей строки 'Object Pascal'.

Для удобной работы с нуль-терминированными строками в языке Delphi предусмотрена директива $EXTENDEDSYNTAX. Если она включена (ON), то появляются следующие дополнительные возможности:

  • массив символов, в котором нижний индекс равен 0, совместим с типом PChar;
  • строковые константы совместимы с типом PChar.
  • указатели типа PChar могут участвовать в операциях сложения и вычитания с целыми числами; допустимо также вычитание (но не сложение!) указателей.

В режиме расширенного синтаксиса допустимы, например, следующие операторы:

S3 := S2; // S3 указывает на строку 'Delphi/Kylix'
S3 := S1 + 7; // S3 указывает на подстроку 'Pascal'

В языке Delphi существует богатый набор процедур и функций для работы с нуль-терминированными строками (см. справочник по среде Delphi).

Переменные с непостоянным типом значений

Тип данных Variant

В среде Delphi определен стандартный тип данных Variant, с помощью которого объявляются переменные с непостоянным типом значений. Такие переменные могут принимать значения разных типов данных в зависимости от типа выражения, в котором используются. Следующий пример хорошо демонстрирует мощь переменных с непостоянным типом значений:

program Console;

{$APPTYPE CONSOLE}

uses
 SysUtils;

var
 V1, V2, V3, V4: Variant;

begin
 V1 := 5; // целое число
 V2 := 0.8; // вещественное число
 V3 := '10'; // строка
 V4 := V1 + V2 + V3; // вещественное число 15.8
 Writeln(V4); // 15.8
 Writeln('Press Enter to exit...');
 Readln;
end.

Значения переменных с типом Variant

Переменные с непостоянным типом содержат целые, вещественные, строковые, булевские значения, дату и время, массивы и др. Кроме того, переменные с типом Variant принимают два специальных значения: Unassigned и Null.

Значение Unassigned показывает, что переменная является нетронутой, т.е. переменной еще не присвоено значение. Оно автоматически устанавливается в качестве начального значения любой переменной с типом Variant.

Значение Null показывает, что переменная имеет неопределенное значение. Если в выражении участвует переменная со значением Null, то результат всего выражения тоже равен Null.

Переменная с типом Variant занимает в памяти 16 байт. В них хранятся текущее значение переменной (или адрес значения в динамической памяти) и тип этого значения.

Тип значения выясняется с помощью функции

VarType(const V: Variant): Integer;

Возвращаемый результат формируется из констант, перечисленных в таблице 2.10. Например, следующий условный оператор проверяет, содержит ли переменная строку (массив строк):

if VarType(V) and varTypeMask = varString then ...

Код типа

Значение

Описание

varEmpty $0000 Переменная содержит значение Unassigned.
varNull $0001 Переменная содержит значение Null.
varSmallint $0002 Переменная содержит значение типа Smallint.
varInteger $0003 Переменная содержит значение типа Integer.
varSingle $0004 Переменная содержит значение типа Single.
varDouble $0005 Переменная содержит значение типа Double.
varCurrency $0006 Переменная содержит значение типа Currency.
varDate $0007 Переменная содержит значение типа TDateTime.
varOleStr $0008 Переменная содержит ссылку на строку формата Unicode в динамической памяти.
varDispatch $0009 Переменная содержит ссылку на интерфейс IDispatch (интерфейсы рассмотрены в главе 6).
varError $000A Переменная содержит системный код ошибки.
varBoolean $000B Переменная содержит значение типа WordBool.
varVariant $000C Элемент варьируемого массива содержит значение типа Variant (код varVariant используется только в сочетании с флагом varArray).
varUnknown $000D Переменная содержит ссылку на интерфейс IUnknown (интерфейсы рассмотрены в главе 6).
varShortint $0010 Переменная содержит значение типа Shortint
varByte $0011 Переменная содержит значение типа Byte.
varWord $0012 Переменная содержит значение типа Word
varLongword $0013 Переменная содрежит значение типа Longword
varInt64 $0014 Переменная содержит значение типа Int64
varStrArg $0048 Переменная содержит строку, совместимую со стандартом COM, принятым в операционной системе Windows.
varString $0100 Переменная содержит ссылку на длинную строку.
varAny $0101 Переменная содержит значение любого типа данных технологии CORBA
Флаги 
varTypeMask $0FFF Маска для выяснения типа значения.
varArray $2000 Переменная содержит массив значений.
varByRef $4000 Переменная содержит ссылку на значение.

Таблица 10. Коды и флаги варьируемых переменных

Функция

VarAsType(const V: Variant; VarType: Integer): Variant; 

позволяет вам преобразовать значение варьируемой переменной к нужному типу, например:

V1 := '100';
V2 := VarAsType(V1, varInteger);

Пока это все, что нужно знать о типе Variant, но мы к нему еще вернемся при обсуждении технологии COM Automation.

Delphi + ассемблер

В процессе разработки программы вы можете неожиданно обнаружить, что описанных выше средств языка Delphi для решения некоторых насущных проблем явно недостаточно. Например, организация критичных по времени вычислений требует использования ассемблера. Кроме того, часто возникает необходимость включить в программу на языке Delphi откомпилированные ранее процедуры и функции, написанные на ассемблере. Разработчики языка учли эти проблемы и дали программисту необходимые средства их решения.

Встроенный ассемблер

Пользователю предоставляется возможность делать вставки на встроенном ассемблере в исходный текст на языке Delphi.

К встроенному ассемблеру можно обратиться с помощью зарезервированного слова asm, за которым следуют команды ассемблера и слово end:

asm
 <оператор ассемблера>
 ...
 <оператор ассемблера>
end;

На одной строке можно поместить несколько операторов ассемблера, разделенных двоеточием. Если каждый оператор размещен на отдельной строке, двоеточие не ставится.

В языке Delphi имеется возможность не только делать ассемблерные вставки, но писать процедуры и функции полностью на ассемблере. В этом случае тело подпрограммы ограничивается словами asm и end (а не begin и end), между которыми помещаются инструкции ассемблера. Перед словом asm могут располагаться объявления локальных констант, типов, и переменных. Например, вот как могут быть реализованы функции вычисления минимального и максимального значения из двух целых чисел:

function Min(A, B: Integer): Integer; register;
asm
 CMP EDX, EAX
 JGE @@1
 MOV EAX, EDX
 @@1:
end;

function Max(A, B: Integer): Integer; register;
asm
 CMP EDX, EAX
 JLE @@1
 MOV EAX, EDX
 @@1:
end;

Обращение к этим функциям имеет привычный вид:

Writeln(Min(10, 20));
Writeln(Max(10, 20));

Подключение внешних подпрограмм

Программисту предоставляется возможность подключать к программе или модулю отдельно скомпилированные процедуры и функции, написанные на языке ассемблера или C. Для этого используется директива компилятора $LINK и зарезервированное слово external. Директива {$LINK <имя файла>} указывает подключаемый объектный модуль, а external сообщает компилятору, что подпрограмма внешняя.

Предположим, что на ассемблере написаны и скомпилированы функции Min и Max, их объектный код находится в файле MINMAX.OBJ. Подключение функций Min и Max к программе на языке Delphi будет выглядеть так:

function Min(X, Y: Integer): Integer; external;
function Max(X, Y: Integer): Integer; external;
{$LINK MINMAX.OBJ}

В модулях внешние подпрограммы подключаются в разделе implementation.

Итоги

Все, что вы изучили, называется языком Delphi. Мы надеемся, что вам понравились стройность и выразительная сила языка. Но это всего лишь основа. Теперь пора подняться на следующую ступень и изучить технику объектно-ориентированного программирования, без которого немыслимо стать профессиональным программистом. Именно этим вопросом в рамках применения объектов в среде Delphi мы и займемся в следующей главе.

следующая статья серии

Ссылки по теме



 Распечатать »
 Правила публикации »
  Написать редактору 
 Рекомендовать » Дата публикации: 26.02.2006 
 

Магазин программного обеспечения   WWW.ITSHOP.RU
SAP CRYSTAL Server 2013 WIN INTL 5 CAL License
Allround Automation PL/SQL Developer - Annual Service Contract - 5 users
Oracle Database Personal Edition Named User Plus License
JIRA Software Commercial (Cloud) Standard 10 Users
Quest Software. TOAD for SQL Server Xpert Edition
 
Другие предложения...
 
Курсы обучения   WWW.ITSHOP.RU
 
Другие предложения...
 
Магазин сертификационных экзаменов   WWW.ITSHOP.RU
 
Другие предложения...
 
3D Принтеры | 3D Печать   WWW.ITSHOP.RU
 
Другие предложения...
 
Новости по теме
 
Рассылки Subscribe.ru
Информационные технологии: CASE, RAD, ERP, OLAP
Новости ITShop.ru - ПО, книги, документация, курсы обучения
Программирование на Microsoft Access
CASE-технологии
СУБД Oracle "с нуля"
Работа в Windows и новости компании Microsoft
Проект mic-hard - все об XP - новости, статьи, советы
 
Статьи по теме
 
Новинки каталога Download
 
Исходники
 
Документация
 
 



    
rambler's top100 Rambler's Top100